标准正态分布公式(含例题)
标准正态分布公式(含例题)
正态分布由两个参数μ和σ确定,对任意一个服从N(μ,σ²)分布的随机变量X,经式1变换(随机变量的标准化变换)都可以转换为μ=0和σ=1的标准正态分布

公式1
当μ和σ未知时,可以利用样本均数x-和标准差s对数据进行标准化为式2,即:

公式2
实际应用中,经z变换可把求解任意一个正态分布曲线下面积的问题,转化成标准正态分布曲线下相应的面积问题。附表给出了标准正态分布曲线下z值左侧尾部面积,利用标准正态分布可求出原始变量X在任意区间的概率值。
由于标准正态分布曲线以0为中心左右两侧完全对称,故表中只列出了z值的负数部分,当z>0时可以使用:
Φ(z)=1-Φ(-z)
z在区间(z1,z2)的概率计算公式为:
P(z1<z<z2)=Φ(z2)-Φ(z1)

标准正态分布曲线下面积示意图
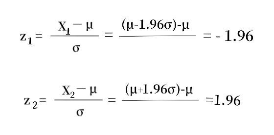
例题1
若X~N(μ,σ²),试计算X取值在区间μ±1.96σ上的概率。先做标准化变化,求X所对应的z值,根据公式1计算

通过查附表1,由两式可得

即X的取值在区间μ±1.96σ上的概率为95%。

附表1
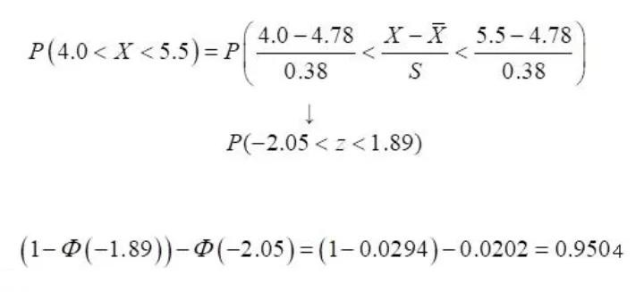
例题2
已知某地140名正常成年男子红细胞计数近似服从正态分布,Xˉ=4.78×10¹²/L, S=0.38×10¹²/L,试估计:①该地正常成年男子红细胞计数在4.0×10¹²/ L以下者占该地正常成年男子总数的百分比。②红细胞计数在4.0×10¹²/L~5.5×10¹²/L者占该地正常成年男子总数的百分比。
估计红细胞计数在某个范围内的人数占总人数的比例,可以转化为求此区间内正态分布曲线下面积问题。
(1)将X=4.0代入公式2得

于是问题转化成了求标准正态分布z值小于-2.05的概率,查附表1得Ф(-2.05) =0.0202,表明该地成年男子红细胞计数低于4×10¹²/L者约占该地正常成年男子总数的2.02%。
(2)分别计算X1=4.0和X2=5.5所对应的z值

表明红细胞计数在4.0×10¹²~5.5×10¹²/L者约占该地正常成年男子总数的95.04%。
标签:
